Contents

Client Citation Analysis

Design and implementation of environment chamber for interfacial phenomenon processes

This thesis develops a portable temperature- and humidity-controlled environment chamber and benchmarks it with DI water surface tension and contact-angle measurements captured using the authors’ DropletLab© smartphone workflow.

At-a-Glance Summary

Primary surface measurement reported

DI water surface tension, receding contact angle, and advancing contact angle were measured under controlled temperature and relative humidity inside the chamber.

Dropometer attribution in the paper

The thesis states that a phone was used for image acquisition and image processing using the “DropletLab© sessile and pendent apps,” with ADSA-P used for surface tension and ADSA-P plus polynomial used for contact angle.

How the surface-tension / contact-angle data were used in the study

The surface-tension and contact-angle outputs were used to benchmark the chamber against literature experiments performed at defined temperature and humidity conditions. The study used them to compare trend agreement for humidity-dependent surface tension, evaporative receding contact angle on glass, and advancing contact angle on Teflon.

Paper Details

Title
Design and implementation of environment chamber for interfacial phenomenon processes
Authors
Gurdeep Singh Saini

Journal context

What it is
Journal-level metrics for the publication venue (not a rating of this specific article).
How to read it
Compare metrics within category; updates are annual and lag current-year publications.

What Was Measured

Primary surface / interfacial measurement

The thesis reports DI water surface tension by the pendent drop method and DI water contact angle by sessile-drop tests. Surface-tension benchmarking was performed at constant temperature with varied humidity, and contact-angle benchmarking covered receding behavior on glass and advancing behavior on Teflon.

Supporting measurements

Supporting measurements included chamber air temperature, Peltier temperature, ITO glass temperature, and relative humidity inside the chamber. The receding-contact-angle benchmark also tracked initial contact angle, contact angle radius, and initial volume.

Role of the Dropometer

The thesis states that a phone was used for image acquisition and image processing, using the DropletLab© sessile and pendent apps. An LED back light was used to increase contrast so the droplet outline could be extracted accurately by the imaging software; in the surface-tension benchmark, an image of a DI water droplet sufficiently deformed by gravity was analyzed by ADSA-P, while the sessile-drop studies used ADSA-P and polynomial fits for contact-angle measurements.

These Dropometer-derived outputs were used to benchmark the chamber against published temperature- and humidity-dependent droplet experiments on DI water, compare trend agreement, and isolate the lower-temperature surface-tension discrepancy highlighted by the authors.

Method Snapshot

Method Snapshot Table

Benchmark series System Surface output Instruments Conditions Notes
Surface-tension benchmark at 40°C DI water, pendent drop Surface tension smart phone + DropletLab© sessile and pendent apps; LED back light; ADSA-P 40°C; RH varied at 44, 54, 64, 70, 81.5, 91, and 98%RH; droplet volume 39 µL; droplet at chamber center Compared with Portuguez et al.; Figure 6-2; Appendix D-1-3 to D-1-8
Surface-tension benchmark at 15°C DI water, pendent drop Surface tension smart phone + DropletLab© sessile and pendent apps; LED back light; ADSA-P 15°C; RH conditions 45, 78.9, and 79.4%RH in Appendix D; droplet volume 39 µL; droplet at chamber center Compared with Portuguez et al.; Figure 6-2; Appendix D-1-1 to D-1-2
Receding-contact-angle benchmark DI water on glass substrate Receding contact angle during evaporation smart phone + DropletLab© sessile and pendent apps; LED back light; ADSA-P and polynomial 27.5°C; 61%RH; initial contact angle 45°; contact angle radius 0.3 cm; initial volume 14.28 mg Compared with Panwar et al.; Figure 6-4; Table 6-A
Advancing-contact-angle benchmark, mid-range RH DI water on spin coated Teflon on aluminum substrate Advancing contact angle smart phone + DropletLab© sessile and pendent apps; LED back light; ADSA-P and polynomial 53°C, 60°C, and 69°C; 53-65%RH Figure 6-5; Appendix D-3-1 to D-3-3
Advancing-contact-angle benchmark, near saturation DI water on spin coated Teflon on aluminum substrate Advancing contact angle smart phone + DropletLab© sessile and pendent apps; LED back light; ADSA-P and polynomial 50°C, 61°C, and 70°C; 94-100%RH Figure 6-5; Appendix D-3-4 to D-3-6

Key Findings

40°C humidity response matched the benchmark

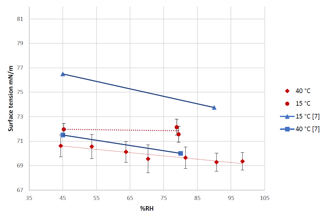
At 40°C, DI water surface tension decreased as relative humidity increased. The thesis states that this matched the literature trend used for benchmarking.

15°C data exposed a literature mismatch

At 15°C, the recorded surface-tension values were between about 71 and 73 mN/m across the tested humidity conditions. The authors highlighted this as a discrepancy relative to the cited low-temperature literature curve and called for further investigation of those literature values.

Glass evaporation stayed pinned

For DI water on glass at 27.5°C and 61%RH, the contact angle decreased almost linearly with time while the contact radius remained constant. The thesis interprets this behavior as evaporation on a high-energy surface that keeps the drop pinned.

Mid-range humidity held Teflon near 127°

On spin coated Teflon, the advancing contact angle was around 127° for temperatures between 50°C and 70°C at humidity levels between 53% and 65%RH. Within that range, temperature did not significantly change the measured advancing angle.

Near-saturation humidity lowered the Teflon angle

Comparing 53-65%RH with 94-100%RH, the average advancing contact-angle difference was 5.1°, regardless of temperature. The thesis links this trend to increased effective surface energy of the flat Teflon coating with vapor deposition.

Figures & Visuals

Figure 6-1 — Pendant-drop measurement geometry

What it shows

Shows the pendent droplet centered in the chamber for surface-tension testing, with the needle position and reported droplet volume of 39 µL.

Figure 6-2 — Humidity dependence of DI water surface tension

Why it matters

Compares chamber-measured surface tension at 15°C and 40°C against literature as relative humidity is varied.

Figure 6-4 — Receding angle during evaporation on glass

What it shows

Shows time-resolved sessile-drop images and the drop-angle decline at 27.5°C and 61%RH alongside literature values.

Figure 6-5 — Advancing angle response on Teflon

What it shows

Plots advancing contact angle against temperature for two humidity bands, making the humidity-driven offset easy to see.

Why It Matters

The thesis was motivated by interfacial phenomena involving temperature and humidity, and surface tension plus contact angle were the main measurements used to verify that the chamber could recreate literature-like droplet behavior under controlled conditions. In practice, those outputs connected the chamber design to actual droplet benchmarking on DI water.

Their value in the study was comparative rather than promotional: they showed agreement with literature for the glass and Teflon contact-angle benchmarks and for the 40°C surface-tension trend, while also exposing a lower-temperature surface-tension discrepancy that the authors singled out for further investigation.

Practical Takeaways

Benchmark with both tension and wetting

The thesis validated the chamber with pendent-drop surface tension and sessile-drop contact-angle measurements, so the performance check covered both liquid-air and liquid-solid behavior.

Treat humidity as a live surface variable

At 40°C, surface tension changed with relative humidity, and on flat Teflon the advancing angle shifted between mid-range and near-saturation humidity bands.

Use evaporative receding tests to confirm pinned behavior

On glass, the receding-angle benchmark captured the nearly linear angle decline with constant contact radius used as the literature comparison.

Recheck low-temperature water curves when results disagree

The 15°C surface-tension benchmark is where the authors flagged a discrepancy, making that region important for verification.

A smartphone workflow supported the benchmark set

The authors used the DropletLab© sessile and pendent apps with chamber-window imaging and LED backlighting for the surface-tension and contact-angle measurements reported here.

Download Experiment