Contents

Client Citation Analysis

Flow and clogging of capillary droplets

This study combines quasi-2D microfluidic experiments and deformable-particle simulations of single-droplet flow through constrictions and obstacle arrays, using oil–water interfacial surface tension to quantify droplet capillarity and set a surface-tension scale for nondimensional analysis.

At-a-Glance Summary

Primary surface measurement reported

Oil–water interfacial surface tension for octane-in-water droplets, reported as 𝑔𝑜𝑤≈10mJ m−2.

Dropometer attribution in the paper

The oil–water interfacial surface tension is reported as
𝑔𝑜𝑤≈10mJ m−2, “as measured by the ‘‘Dropometer’’ from Droplet Labs”.

How the surface-tension / contact-angle data were used in the study

The reported interfacial surface tension sets the capillary scale used to describe droplet shape restoration and is carried into a quasi-2D framework where an effective 2D surface tension is defined from the experimental 3D value and used to form a dimensionless surface-tension quantity for experiment–simulation comparison. Surface tension is also a central control parameter in the simulations used to interpret speed changes through constrictions and clogging behavior in obstacle arrays.

Replication / reliability statement

The error bars for the calibrated DP-model parameters
𝐺∗ and 𝑏0∗ are reported as standard deviations from fitting the DP simulations to at least five independent experimental trials.

Paper Details

Title
Flow and clogging of capillary droplets
Authors
Yuxuan Cheng; Benjamin F. Lonial; Shivnag Sista; David J. Meer; Anisa Hofert; Eric R. Weeks; Mark D. Shattuck; Corey S. O’Hern
Journal
Soft Matter
Year
2024
Volume
20
Issue
40
Pages / Article
8036–8051
License
Creative Commons Attribution-NonCommercial 3.0 Unported Licence

Journal context

What it is
Journal-level metrics for the publication venue (not a rating of this specific article).
How to read it
Compare metrics within category; updates are annual and lag current-year publications.

Scopus metrics (Elsevier / Scopus rating 2024)

CiteScore 2024

5.4

CiteScore subject ranks (CiteScore 2024)
  • Q2 - Physics and Astronomy: Condensed Matter Physics (122/443)
  • Q2 - Chemistry: Chemistry (all) (133/404)
SNIP 2024

0.779

SJR 2024

0.684

Journal Impact Factor (Clarivate JCR)

Journal Impact Factor (JCR 2024)

2.8

What Was Measured

Primary surface / interfacial measurement

Oil–water interfacial surface tension for the octane–water system, reported as 𝑔𝑜𝑤 ≈ 10 mJ m−2 and attributed to measurement by the “‘‘Dropometer’’ from Droplet Labs”.

Supporting measurements

In the quasi-2D experiments, droplet speed in the driving direction and droplet shape evolution were extracted from microscope videos as droplets moved through a narrow orifice. In the simulation studies, quantities tied to droplet flow and arrest in obstacle arrays (e.g., clogging statistics and mean flow speeds) were evaluated as functions of geometry and a surface-tension-related model parameter.

Role of the Dropometer

The paper reports the oil–water interfacial surface tension as 𝑔𝑜𝑤≈10mJ m−2, “as measured by the ‘‘Dropometer’’ from Droplet Labs,” and uses this value as the surface-tension scale governing droplet capillarity (the tendency for droplets to remain round) during confined, gravity-driven motion. The experimental interfacial tension is then carried into the quasi-2D analysis used to define a dimensionless surface-tension quantity for comparing experimental droplet deformation and speed profiles to the deformable-particle (DP) simulations.

In the study’s workflow, the Dropometer-reported interfacial tension serves as the experimental capillarity input that anchors the surface-tension-based nondimensionalization used alongside the experiment–simulation calibration.

Method Snapshot

Method Snapshot Table

Study element (where surface tension matters) System / sample description Geometry / controls (as stated) Surface-tension inputs used Outputs used in the paper Instruments / methods Conditions / notes (as stated)
Interfacial tension value used for capillarity Octane oil droplets in water gow≈10mJ m−2 (oil–water interfacial surface tension) Surface-tension scale referenced in experimental methods and quasi-2D analysis ‘‘Dropometer’’ from Droplet Labs Octane density 𝜌𝑜 = 0.703 g mL−1; water density 𝜌𝑤=0.997 g mL−1
Narrow-orifice experiments (quantitative comparisons to DP) Single octane-in-water droplet; 0.5% Tween 20 detergent solution Quasi-2D chamber made from 400 µm plastic film between glass slides; narrow orifice formed by two triangular film pieces; varying orifice width 𝑤 and droplet diameter 𝜎 ; microscope tilt angle 𝜃 varied Uses experimental oil–water interfacial tension in defining effective quasi-2D surface-tension quantities Droplet speed in driving direction and droplet shape parameter vs distance from orifice; terminal speed far from walls used in calibration Leica DM4500 B inverted microscope + ThorLabs DCC1545M camera (movies); Wixley digital angle gauge (tilt angle) Droplets formed by direct injection via hand-held syringe; droplet diameter measured in situ
Obstacle-array experiments (mechanism illustrations) Single octane-in-water droplet; 0.5% Tween 20 detergent solution Obstacles formed by curing UV adhesive drops into solid cylinders spanning chamber thickness Uses experimental surface-tension context for droplet deformability and mechanisms Images illustrating wrapping and squeezing mechanisms (paired with DP simulations) Same imaging setup (microscope + camera) Obstacle shapes described as set by surface tension in sufficiently thin chambers
Obstacle-array simulations (flow vs clogging) SP and DP model droplets in random obstacle arrays Regimes discussed in terms of minimum obstacle separation 𝑤𝑜𝑏/𝜎 and obstacle size 𝜎𝑜𝑏/𝜎 DP model varies dimensionless line tension 𝐺 (surface-tension-related control parameter in the model) Clogging statistics (via 𝑃(𝑟) and decay length 𝜆); average droplet speeds in continuous-flow studies Numerical simulations (SP and DP models) Clogging treated as a Poisson process with 𝑃(𝑟) = 𝑒−𝑟/𝜆

Key Findings

Dropometer-measured interfacial tension sets the experimental capillarity scale

The oil–water interfacial surface tension is reported as
𝑔𝑜𝑤 ≈ 10 mJ m−2, “as measured by the ‘‘Dropometer’’ from Droplet Labs,” and is used to describe why droplets tend to remain round and resist deformation in confinement.

Effective quasi-2D surface tension is used to form a dimensionless experimental surface-tension measure

The authors define an effective 2D surface tension from the experimental 3D interfacial tension in the quasi-2D limit and use it to define a dimensionless surface-tension quantity
𝐺𝑒𝑥𝑝 for comparison between experiments and simulations.

DP model calibration reproduces constriction-flow shape and speed trends

The DP simulations are calibrated against experiments of a single droplet flowing through narrow channels by tuning a dimensionless line tension 𝐺 and a near-wall drag coefficient ratio 𝑏0/𝑏𝑁 to minimize deviations in droplet speed (and comparing shape in parallel). For one calibration case, the paper reports
𝐺∗=0.16±0.01 and 𝑏0∗/𝑏𝑁=0.064±0.003

Speed through a constriction is nonmonotonic and can overshoot the terminal speed

The paper reports a nonmonotonic droplet speed profile as the droplet exits the narrow orifice, including cases where the droplet speed exceeds the terminal speed far from the constriction, with overshoot behavior discussed in terms of the balance between capillarity and driving.

Obstacle-array clogging is nonmonotonic with surface tension due to squeezing vs wrapping

In obstacle arrays, the paper reports that the clogging probability becomes nonmonotonic with surface tension
𝐺: at large 𝐺 droplets are nearly rigid and clogging is high, clogging decreases as 𝐺 decreases and droplets become more deformable, and clogging increases again at small 𝐺 where highly deformable droplets can wrap around obstacles.

Simulations span a wider surface-tension variation than the experiments

The authors state that varying surface tension in the experiments by more than a factor of 2 is challenging, and they therefore carry out simulations with surface tensions varying by more than a factor of
10^3 to accentuate wrapping behavior.

Thresholds / Regimes

The paper distinguishes obstacle-array behavior using geometric regime conditions on the minimum obstacle separation 𝑤𝑜𝑏/𝜎w and defines simulation clogging using a small kinetic-energy threshold criterion. Clogging statistics are discussed using a Poisson-process form 𝑃(𝑟)=𝑒−𝑟/𝜆, where 𝜆 is the clogging decay length.

Figures & Visuals

Figure 1 — Quasi-2D surface-energy framework used to define an effective surface tension

What it shows

Shows the geometric decomposition of surface area (including the out-of-plane area term) used to motivate the quasi-2D surface-tension treatment that connects experimental interfacial tension to the 2D modeling framework.

Figure 2 — Experiment-to-simulation calibration that uses a dimensionless surface-tension estimate

What it shows

Presents experimental and DP-simulation droplet shapes and speeds through a narrow orifice and reports fitted DP parameters, along with an estimated 𝐺𝑒𝑥𝑝 for the experimental condition.

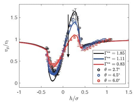
Figure 4 — Nonmonotonic speed profile and overshoot after exiting the orifice

What it shows

Plots 𝑣𝑔/𝑣𝑡 versus position relative to the orifice for several tilt angles, showing overshoot behavior and reporting fitted line tensions 𝐺∗∗ for the calibrated DP simulations.

Figure 5 — Mechanism images linking experiment and DP simulations in obstacle arrays

What it shows

Shows experimental images and calibrated DP simulations illustrating wrapping and squeezing, with the experimental caption reporting 𝐺𝑒𝑥𝑝 for the example obstacle-array condition.

Why It Matters

This paper frames surface tension as the capillary property that governs droplet deformability in confined geometries, shaping how droplets slow down, deform, and either pass through or arrest in constrictions and obstacle arrays. The reported oil–water interfacial tension (measured with the ‘‘Dropometer’’) anchors the experimental capillarity scale that is then carried into a quasi-2D, dimensionless description used for experiment–simulation comparison.

By connecting capillarity-controlled deformation to two distinct obstacle-array clogging mechanisms (squeezing versus wrapping) and showing nonmonotonic clogging trends with surface tension, the study supports a more predictive understanding of droplet transport through complex microfluidic-like geometries.

Practical Takeaways

Anchor capillarity with a measured 𝑔 𝑜 𝑤 g ow ​

The study uses 𝑔𝑜𝑤≈10 mJ m−2 (measured by the ‘‘Dropometer’’) as the interfacial-tension input that underpins the capillarity arguments and the quasi-2D surface-tension scaling used throughout the analysis.

Use dimensionless surface-tension scaling for experiment–simulation alignment

The paper defines a dimensionless experimental surface-tension quantity 𝐺𝑒𝑥𝑝 from the experimental interfacial tension and uses it in the context of comparing measured droplet shape/speed to DP simulations.

Expect speed overshoot near constrictions under certain capillarity-to-driving balances

The reported speed profile through a narrow orifice is nonmonotonic and can exceed the terminal speed after the droplet exits the constriction, with the behavior discussed in terms of capillary versus driving effects.

Account for wrapping-driven slowdowns and clogs at low surface tension in obstacle arrays

The paper reports that very deformable droplets can wrap around obstacles, which decreases average speed in continuous-flow studies and contributes to increased clogging probability in the permanent-clog regime.

Treat clogging vs continuous flow as geometry-dependent regimes

For obstacle arrays, the paper states that permanent clogs can form when wob / σ < 1, and it reports continuous-flow results for example gap ratios 𝑤𝑜𝑏/𝜎=1.0–1.3

Download Experiment