Contents

At-a-Glance Summary

Primary surface measurement reported

The TPM surface tension is reported as Σ = 3 mN/m.

Dropometer attribution in the paper

The authors measure TPM surface tension using “the pendant drop method (Dropometer, made by Dropletlab).”

How the surface-tension / contact-angle data were used in the study

The reported Σ value is used to define a deformation-energy scale ε and compute an effective temperature Teff = kBT/ε, and Σ is also used to nondimensionalize yield stress in the paper’s mechanical scaling (Fig. 5(b)).

Paper Details

Title
Rheology finds distinct glass and jamming transitions in emulsions
Authors
Cong Cao; Jianshan Liao; Victor Breedveld; Eric R. Weeks
Journal
Soft Matter
Year
2021
Pages / Article
1–9

Journal context

What it is
Journal-level metrics for the publication venue (not a rating of this specific article).
How to read it
Compare metrics within category; updates are annual and lag current-year publications.

Scopus metrics (Elsevier / Scopus rating 2024)

CiteScore 2024

5.4

CiteScore subject ranks (CiteScore 2024)
  • Q2 - Physics and Astronomy - Condensed Matter Physics (122/443)
  • Q2 - Chemistry - Chemistry (all) (133/404)
SNIP 2024

0.779

SJR 2024

0.684

Journal Impact Factor (Clarivate JCR)

Journal Impact Factor (JCR 2024)

2.8

5-Year Impact Factor

5-Year Impact Factor

JCR category rank

What Was Measured

Primary surface / interfacial measurement

The TPM surface tension Σ is measured and reported (Σ = 3 mN/m) and is referenced as the oil–water surface tension in the paper’s yield-stress normalization.

Supporting measurements

The study measures steady-shear rheology (shear stress versus strain rate) across volume fraction φ and uses model fits (Herschel–Bulkley and a Three Component model) to describe yield-stress behavior. Droplet sizes are determined from SEM imaging of polymerized droplets, with DDM used as a cross-check, and volume fractions are determined by weighing before and after evaporation with a correction applied as described.

Role of the Dropometer

The paper uses the Dropometer specifically to measure TPM surface tension by “the pendant drop method (Dropometer, made by Dropletlab),” reporting a single value Σ = 3 mN/m.

That Σ value is then carried into the paper’s analysis to set the deformation-energy scale for Teff = kBT/ε and to normalize yield stress as σ0 = σy d / Σ in the scaling shown in Fig. 5(b).

Method Snapshot

Method Snapshot Table

System / series (paper wording) Droplet sizes used in rheology (as reported) Composition / preparation details stated in paper Surface-tension input from Dropometer Measurement outputs used with Σ Instruments Conditions (as stated) Notes
Concentrated TPM oil-in-water emulsions (monodisperse) dmean = 1.03 µm Prepared by a seeded-growth method; stabilized with 0.5 wt% F108 and 5 mM sodium chloride Σ = 3 mN/m Teff = kBT/ε with ε = Σd²; nondimensional yield stress σ0 = σy d / Σ Anton Paar MC302 rheometer; pendant drop method (Dropometer, made by Dropletlab) Room temperature (25 °C) Droplet diameters reported based on SEM measurements of polymerized droplets
Concentrated TPM oil-in-water emulsions (monodisperse) dmean = 1.16 µm Prepared by a seeded-growth method; stabilized with 0.5 wt% F108 and 5 mM sodium chloride Σ = 3 mN/m Teff = kBT/ε with ε = Σd²; nondimensional yield stress σ0 = σy d / Σ Anton Paar MC302 rheometer; pendant drop method (Dropometer, made by Dropletlab) Room temperature (25 °C) SEM imaging performed after polymerizing a portion of each sample (AIBN; 80 °C oven for at least 2 hours)
Concentrated TPM oil-in-water emulsions (monodisperse) dmean = 2.03 µm Prepared by a seeded-growth method; stabilized with 0.5 wt% F108 and 5 mM sodium chloride Σ = 3 mN/m Teff = kBT/ε with ε = Σd²; nondimensional yield stress σ0 = σy d / Σ Anton Paar MC302 rheometer; pendant drop method (Dropometer, made by Dropletlab) Room temperature (25 °C) Used in the paper’s discussion of a jamming-like transition and scaling in Fig. 5(b)
Concentrated TPM oil-in-water emulsions (bidisperse) dsmall = 1.06 µm, dlarge = 1.86 µm (1:1 ratio in volume) Prepared by a seeded-growth method; stabilized with 0.5 wt% F108 and 5 mM sodium chloride Σ = 3 mN/m Nondimensional yield stress scaling in Fig. 5(b) Anton Paar MC302 rheometer; pendant drop method (Dropometer, made by Dropletlab) Room temperature (25 °C) For Fig. 5(b), the paper states d = 1.06 µm is used to scale the bidisperse data

Key Findings

Pendant-drop surface tension reported for TPM

The authors report TPM surface tension as Σ = 3 mN/m, measured using “the pendant drop method (Dropometer, made by Dropletlab).”

Σ sets the deformation-energy scale for Teff

Using ε = Σd², the paper reports kBT/ε = (5.2 − 20.0) × 10−6 for the largest to smallest droplets and describes this as lying in a crossover regime discussed in connection with simulation results.

Alternative ε estimate also depends on Σ

Using a surface-area change argument (“If a diameter fluctuation Δd/d = 0.1 is sufficient…”), the paper gives ε = 0.01πΣd² and reports kBT/ε = (1.7 − 6.4) × 10−4.

Yield-stress scaling uses Σ directly

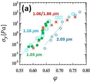
The paper defines a nondimensional mechanical yield stress σ0 = σy d / Σ and presents yield stress versus φ nondimensionalized by the oil–water surface tension Σ in Fig. 5(b).

Thresholds / Regimes

The paper discusses transition volume fractions in terms of yield-stress onset behavior across volume fraction φ and connects these to glass-like and jamming-like transition points used in the study’s interpretation.
Threshold / regime (paper wording) Value Units Sample / context (as stated) How determined / stated in the paper Where shown / referenced
Glass transition φg ≈ 0.58 Discussed as a glass transition point for small thermal particles and used in the paper’s interpretation Given as φc = φg ≈ 0.58 in the study framing and used again in Conclusions Abstract; Conclusions
Jamming transition φJ ≈ 0.64 Discussed as a jamming transition point for large athermal systems and used in the paper’s interpretation Given as φc = φJ ≈ 0.64 in the study framing and used again in Conclusions Abstract; Conclusions
Transition volume fraction for large droplet sample φc = 0.635 ± 0.008 Large monodisperse droplets (dmean = 2.03 µm) Bracketed using φ = 0.643 (yield stress) and φ = 0.627 (no yield stress), with φc reported between these values Results discussion near Fig. 2(a,b)
TC-model component transition φ ≈ 0.70 “Athermal” sample with only a jamming transition (paper wording) Reported as a transition where the TC model fit changes from needing only a viscous component (φ 0.70) Results discussion

Figures & Visuals

Figure 5(b) — Shows where Σ enters the paper’s rheology scaling

What it shows

It plots yield stress versus φ with yield stress nondimensionalized by the oil–water surface tension Σ.

Figure 4(a) — Sets the context for the Teff analysis that uses Σ

What it shows

It presents yield stress trends versus volume fraction φ that the paper discusses alongside Teff = kBT/ε, where ε is estimated using Σ.

Why It Matters

A central goal of the paper is to compare glass-like and jamming-like rheological transitions across emulsions with different droplet sizes while keeping the emulsion formulation consistent (same oil, continuous phase fluid, and surfactant across samples). Within this framework, the surface tension Σ provides a single interfacial-material parameter used in the paper’s scaling arguments.

By measuring Σ via the pendant-drop Dropometer method and then using Σ to estimate ε and to nondimensionalize yield stress (σ0 = σy d / Σ), the paper links interfacial physics (surface tension–set deformation energy) to how yield stress trends are compared across droplet sizes and against literature and simulation discussions.

Practical Takeaways

Pendant-drop Σ can be a key scaling input

Here, a single TPM surface-tension value (Σ = 3 mN/m) measured by “the pendant drop method (Dropometer, made by Dropletlab)” is used throughout the paper’s nondimensional analysis.

Use Σ with droplet size to estimate kBT/ε

The study uses ε = Σd² (and also ε = 0.01πΣd² under a stated Δd/d = 0.1 assumption) to compute kBT/ε ranges for the droplet sizes studied.

Normalize yield stress with Σ for mechanical scaling

The paper defines σ0 = σy d / Σ and shows yield stress nondimensionalized by Σ in Fig. 5(b) to compare behavior across droplet sizes and datasets.

Keep formulation constant when comparing size effects

The experiments are framed around using the same oil for the droplets, the same continuous phase fluid, and the same surfactant for all samples while varying droplet diameter.

Download Experiment