Contents

Client Citation Analysis

Membrane performance evaluation and residual fouling characterization in a thermophilic submerged AnMBR treating pulp and paper primary sludge at varying solids retention times

This study evaluates thermophilic submerged AnMBR membrane performance and residual fouling across solids retention times (SRTs) and uses sessile-drop contact angle measurements to track membrane surface wettability changes.

At-a-Glance Summary

Primary surface measurement reported

Sessile-drop contact angle (CA) measurements using a water droplet were used to evaluate surface hydrophilicity of mixed liquor and membrane samples.

Dropometer attribution in the paper

CA measurements were conducted employing a “droplet sessile CA method (Droplet Smart Tech Inc., Markham, ON, Canada).”

How the surface-tension / contact-angle data were used in the study

Contact angle changes were used to compare employed membranes versus unused membranes under different SRTs and to support interpretation of SRT-linked changes in membrane surface properties during sludge digestion.

Replication / reliability statement

Both the mixed liquor and membrane samples underwent triplicate analyses, with subsequent computation of average values.

Paper Details

Title
Membrane performance evaluation and residual fouling characterization in a thermophilic submerged AnMBR treating pulp and paper primary sludge at varying solids retention times
Authors
Alnour Bokhary; Mathew Leitch; Baoqiang Liao
Journal
Separation and Purification Technology
Year
2025
Volume
358
Pages / Article
130438
License
© 2024 Elsevier B.V. All rights are reserved, including those for text and data mining, AI training, and similar technologies.

Journal context

What it is
Journal-level metrics for the publication venue (not a rating of this specific article).
How to read it
Compare metrics within category; updates are annual and lag current-year publications.

Scopus metrics (Elsevier / Scopus rating 2024)

CiteScore 2024

15.1

CiteScore subject ranks (CiteScore 2024)

Q1 - Chemistry: Analytical Chemistry (7/160) Q1 - Chemical Engineering: Filtration and Separation (3/19)

SNIP 2024

1.383

SJR 2024

1.697

Journal Impact Factor (Clarivate JCR)

Journal Impact Factor (JCR 2024)

9.0

5-Year Impact Factor
JCR category rank

Q1 - ENGINEERING, CHEMICAL (16/176)

What Was Measured

Primary surface / interfacial measurement

Contact angle (CA) measurements were performed using a sessile droplet method with a 3 μL water droplet to determine surface hydrophilicity.

Supporting measurements

Surface characterization included FTIR for residual foulants, SEM/EDX for membrane morphology and elemental composition, and XPS for elemental composition/chemical state/surface characteristics. The study also reports zeta potential (mixed liquor supernatants), SEM-image-derived surface roughness (Ra, Rq) and pore size distribution (ImageJ-based analysis), SEM texture analysis (Gwyddion), and particle size distribution (laser diffraction).

Role of the Dropometer

Contact angle measurements were conducted employing a droplet sessile CA method (Droplet Smart Tech Inc., Markham, ON, Canada) using a 3 μL water droplet to determine surface hydrophilicity; mixed liquor and membrane samples underwent triplicate analyses with average values computed.

In the results and discussion, the contact angle outputs support comparisons of employed versus unused membranes across SRT conditions and are used in the interpretation of membrane surface-property changes during sludge digestion.

Method Snapshot

Method Snapshot Table

Sample / condition series (as described) SRT condition(s) used in the study Surface measurement output Droplet / probe liquid details Instrument attribution (as written) Replication Operating context reported alongside the surface work
Unused (reference) membrane vs employed membranes 32-day; 45-day; 55-day SRT Contact angle (CA) as hydrophilicity indicator Water droplet volume: 3 μL droplet sessile CA method (Droplet Smart Tech Inc., Markham, ON, Canada) Triplicate; averaged Thermophilic submerged AnMBR treating pulp and paper primary sludge; Table 1 lists temperature 50 ± 1 °C across SRT conditions
Mixed liquor samples (surface properties section) 32-day; 45-day; 55-day SRT Contact angle (CA) as hydrophilicity indicator Water droplet volume: 3 μL droplet sessile CA method (Droplet Smart Tech Inc., Markham, ON, Canada) Triplicate; averaged Mixed liquor is also evaluated for surface properties within the same section

Key Findings

SRT-linked contact angle decreases on employed membranes

Compared to unused membranes, contact angles of employed membranes decreased by 20% (32-day SRT), 24% (45-day SRT), and 39% (55-day SRT).

Statistically significant effect of SRT on contact angle

The authors report that solids retention time significantly impacted contact angle values (p < 0.01).

Wettability change used in residual-fouling interpretation

The authors state that the contact angle change indicates wettability of the employed membrane declined during sludge digestion, and they discuss wettability deterioration in relation to membrane fouling resistance and performance.

Figures & Visuals

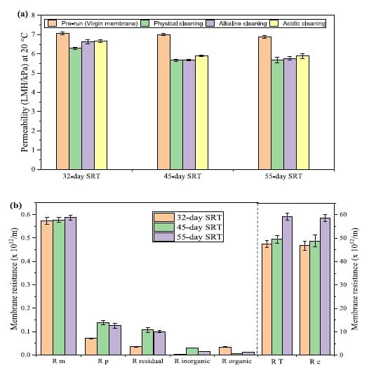
Figure 2 — Performance context for residual fouling comparisons

What it shows

Shows permeability of pristine membranes and employed membrane after physical/chemical cleaning and reports membrane resistances under different SRTs.

Figure 3 — Structural change context accompanying surface-property shifts

What it shows

Illustrates pore size distribution comparisons between used and pristine membranes, supporting the membrane surface-property narrative used alongside wettability discussion.

Figure 6 — Residual foulant chemistry used to interpret surface-property changes

What it shows

Presents FTIR spectra for pristine and used membranes and discusses band intensity differences across SRT conditions.

Figure 7 — Morphology and surface-texture visuals tied to membrane surface characterization

What it shows

Provides SEM images and surface textures of virgin and used membranes under different SRTs after physical and chemical cleaning.

Why It Matters

Within the paper’s residual-fouling characterization workflow, contact angle measurements provide a surface-property indicator that is used alongside morphology (SEM) and surface chemistry (FTIR/XPS) to compare membrane condition across operating SRTs.

The study uses these wettability-linked outputs to support its interpretation that membrane surface properties evolve during sludge digestion and to connect surface-property changes with fouling resistance and membrane performance under different SRT conditions.

Practical Takeaways

Defined sessile-drop CA settings

A 3 μL water droplet was used for contact angle measurements, with triplicate analyses and averaging reported for mixed liquor and membrane samples.

SRT comparison is built into the CA reporting

Contact angle changes are reported as percent decreases for employed membranes versus unused membranes at 32-, 45-, and 55-day SRT conditions.

CA is positioned as part of a multi-technique surface characterization set

Contact angle measurements are presented alongside SEM/EDX, FTIR, XPS, and SEM-image-based roughness/pore metrics in the residual fouling characterization workflow.

Statistical support accompanies the CA trend

The authors report a significant SRT effect on contact angle (p < 0.01), supporting comparisons across operating conditions.

Download Experiment