Contents

Client Citation Analysis

Bio-based ski wax PROTYPE DEVELOPMENT, HYDROPHOBICITY, HARDNESS, BIODEGRADATION AND GLIDE PERFORMANCE ON SNOW

This report develops and benchmarks bio-based ski wax prototypes using contact-angle and roll-off measurements (room temperature and −5 °C) to compare hydrophobicity across prototypes, commercial waxes, and ingredients.

At-a-Glance Summary

Primary surface measurement reported

Contact angles (static and dynamic) and roll-off angles were measured on ski wax prototypes, commercial ski waxes, and ingredients using water and ethylene glycol at 23 °C, plus ethylene glycol at −5 °C.

Dropometer attribution in the paper

The report states that “a portable contact angle instrument (tensiometer) was rented from Droplet Lab (Toronto, Canada)” for contact angle measurements in sub-zero temperatures.

How the surface-tension / contact-angle data were used in the study

Contact angle and roll-off angle outputs were used to compare hydrophobicity of bio-based prototypes versus commercial ski waxes and to evaluate differences among individual ingredients, including sub-zero (−5 °C) conditions relevant to ski wax use. Surface-tension components for the test liquids (water and ethylene glycol) are provided (Table 1) as values obtained from the Dataphysics software.

Replication / reliability statement

In total 4–5 droplets per sample were analysed for the sub-zero measurements.

Paper Details

Title
Bio-based ski wax PROTYPE DEVELOPMENT, HYDROPHOBICITY, HARDNESS, BIODEGRADATION AND GLIDE PERFORMANCE ON SNOW
Authors
Lisa Skedung; Erica Almgren Stenberg
Journal
RISE Report
Year
2024
Pages / Article
RISE Report 2024:53
License
CC BY 4.0

Journal context

What it is
Journal-level metrics for the publication venue (not a rating of this specific article).
How to read it
Compare metrics within category; updates are annual and lag current-year publications.

What Was Measured

Primary surface / interfacial measurement

Hydrophobicity was quantified using contact angle measurements (static and dynamic) and roll-off angles for ski wax prototypes, commercial ski wax products, and ingredients in room temperature (23 °C, 50% RH) and at −5 °C (ethylene glycol).

Supporting measurements

Hardness of ski waxes was measured at −5 °C using a compression test (with reported parameters including hardness, work of penetration, and resistance to probe withdrawal). Biodegradation was evaluated via a respiration test in compost where conductivity measurements were used to calculate sodium carbonate concentration and convert results to produced mg CO₂/g VS and mg CO₂/g TOC, and glide performance was assessed via outdoor snow glide tests.

Role of the Dropometer

Dropometer by Droplet Lab is cited in the report as a “portable contact angle instrument (tensiometer)” rented from Droplet Lab (Toronto, Canada) and placed in a freezer room at RISE at −5 °C to perform contact angle measurements in sub-zero temperatures. Measurements were performed using ethylene glycol as the liquid, with static contact angles and approximate roll-off angles reported for ski waxes and ingredients (Figure 13); sample surfaces were prepared by melting a wax layer onto a microscope glass surface, and waxes were analysed in a pre-randomized order.

These −5 °C contact-angle and roll-off outputs are used alongside the room-temperature contact-angle dataset to benchmark hydrophobicity of bio-based prototypes and ingredients against commercial ski wax products under winter-relevant conditions.

Method Snapshot

Method Snapshot Table

Measurement series Samples evaluated Test liquid(s) Surface outputs reported Instruments Conditions Notes (as stated)
Room-temperature hydrophobicity Bio-based ski wax prototypes; commercial ski wax products; bio-based ingredients Water; ethylene glycol Static and dynamic contact angles; roll-off angles OCA 40 Micro (Dataphysics) with tilt-table Climate-controlled room (T = 23 °C; RH = 50%) Movie recorded for image analysis; 25 µL drop; tilt started after spreading (typically a few seconds); tilt rate 0.30°/s
Sub-zero hydrophobicity Ski waxes (prototypes + commercial); ingredients Ethylene glycol Static contact angles; approximate roll-off angles Portable contact angle instrument (tensiometer) rented from Droplet Lab (Toronto, Canada) Freezer room at RISE (−5 °C) Surfaces prepared the day before by melting a wax layer onto a microscope glass surface; analysed in a pre-randomized order; 4–5 droplets per sample; manual tilting described in results

Key Findings

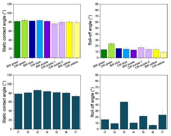
Sub-zero wax contact angles converge

At −5 °C using ethylene glycol and the portable Droplet Lab contact angle instrument, all ski waxes showed similar static contact angles (Figure 13).

Sub-zero roll-off differences are reduced

Roll-off angles at −5 °C showed similar behaviour to room temperature, with less differences between ski waxes at −5 °C (Figure 13).

Manual tilting is highlighted as a control factor

The report notes that room-temperature measurements were more controlled than the manual tilting performed with the portable device in the freezer room and recommends a portable instrument with a tilting stage for future sub-zero measurements.

Water at room temperature indicates hydrophobic wax surfaces

For water measurements at 23 °C, static contact angles were above 90°, and water drops started to roll easily on all measured ski waxes (rolling angle <25°); commercial ski waxes showed slightly lower roll-off angles compared with the corresponding bio-based prototypes (Figure 9).

Ethylene glycol produces lower contact angles than water on the same wax

At room temperature, contact angles were generally lower with ethylene glycol than with water, and roll-off trends differed between bio-based prototypes and corresponding commercial waxes, which the report relates to different surface energy and polarity of the two liquids (Figure 10; Table 1).

Ingredients show larger spread in hydrophobicity than finished waxes

Greater differences were obtained between ingredients than between the different ski waxes; ingredient I3 displayed the lowest static/advancing/receding contact angles and the highest roll-off angle, and the report identifies ingredients I1, I2, I4 and I5 as most promising to incorporate in ski wax based on the stated hydrophobicity/roll-off hypothesis (Figures 11–12).

Thresholds / Regimes

The report defines hydrophobicity using a 90° contact-angle threshold and uses a rolling-angle benchmark (<25°) when describing how easily water drops roll on ski wax surfaces.

Figures & Visuals

Figure 3 — Dropometer setup documentation

What it shows

Photo of the portable contact angle device from Droplet Lab used for sub-zero hydrophobicity measurements.

Figure 4 — Sub-zero measurement environment

What it shows

Photos of activities in the freezer room where contact angles were measured at −5 °C.

Figure 13 — Sub-zero contact angles and roll-off angles

What it shows

Static contact angles and approximate roll-off angles with ethylene glycol obtained in a freezer room at −5 °C for bio-based prototypes/commercial ski waxes (top row) and ingredients (bottom row).

Why It Matters

The report frames contact angle as a hydrophobicity metric relevant to ski/snow interaction and uses contact-angle and roll-off measurements to compare bio-based prototypes to commercial PFAS-free ski waxes and to differentiate ingredient candidates for wax formulation.

Sub-zero contact-angle measurements at −5 °C extend the hydrophobicity benchmarking into winter-relevant conditions using ethylene glycol as a polar, lower-freezing-point liquid, with the report highlighting how measurement control (tilting method) influences roll-off data collection in the freezer-room workflow.

Practical Takeaways

Sub-zero contact angles in a freezer-room workflow

Dropometer is used as a portable contact angle instrument placed in a −5 °C freezer room to quantify static contact angles and approximate roll-off angles using ethylene glycol.

Direct comparison across waxes and ingredients

The report uses contact-angle and roll-off outputs to compare bio-based prototypes and commercial waxes and to identify larger hydrophobicity differences among individual ingredients.

Water vs ethylene glycol provide different wetting response

Room-temperature measurements show lower contact angles with ethylene glycol than with water on the same wax, and the report links differing trends to differences in surface energy/polarity of the two liquids.

Tilt control influences roll-off interpretation

The report contrasts controlled tilt-table measurements at room temperature with manual tilting in the freezer room and recommends a tilting-stage setup for future portable sub-zero measurements.

Ingredient screening signals

Ingredient I3 is highlighted as having low contact angles and high roll-off, while ingredients I1, I2, I4 and I5 are identified as most promising to incorporate based on the report’s stated hydrophobicity/roll-off hypothesis.

Download Experiment