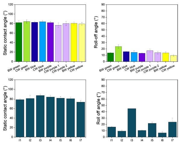
A portable Droplet Lab contact angle instrument (tensiometer) was rented and placed in a freezer room at −5 °C specifically to enable sub-zero contact angle measurements when attempts to cool the lab-based setup faced practical issues (e.g., condensation and temperature mismatch between droplet and surface). Using ethylene glycol as the probe liquid (lower freezing point than water), the Droplet Lab system enabled evaluation of static contact angle and approximate roll-off behavior under winter-relevant conditions, supporting realistic screening of wax hydrophobicity for cold-weather consumer performance products.











